by lodcore-admin
Share
Compartir
En los últimos años se ha popularizado la idea de la ciudad de 15 minutos, pensada para contextos urbanos densos donde la mayoría de los servicios básicos pueden alcanzarse andando o en bicicleta en menos de ese tiempo. Sin embargo, este marco resulta limitado cuando miramos a realidades más dispersas, como los municipios de tamaño medio o ubicados en zonas rurales, donde la movilidad diaria depende en gran medida del transporte privado y, en menor medida, del público.
En este sentido, la literatura reciente propone el modelo del “territorio de 30 minutos” como alternativa para áreas de baja densidad, planteando que los servicios esenciales (como son la sanidad, educación, farmacias, deporte y estaciones de servicios) deberían poder alcanzarse en menos de media hora utilizando estos medios de transporte (Moreno et al., 2023; Poorthuis & Zook, 2023).
Este debate enlaza con un concepto cada vez más presente en la agenda europea y española: la pobreza de transporte. La UE insiste en que la transición hacia una movilidad sostenible debe ser también socialmente justa, evitando que la falta de alternativas al vehículo privado deje a parte de la población sin acceso efectivo a oportunidades y servicios esenciales. En esta línea, el Nuevo Marco de Movilidad Urbana de la UE subraya la necesidad de reducir desigualdades de acceso entre áreas urbanas, periurbanas y rurales, y el Fondo Social para el Clima incorpora explícitamente la dimensión social ligada a los costes del transporte. En España, el Ministerio de Transportes y Movilidad Sostenible ha desarrollado la Estrategia nacional contra la pobreza de transporte, que propone analizar el fenómeno mediante cuatro dimensiones (“4 Aes”): disponibilidad, accesibilidad/conectividad, asequibilidad y aceptabilidad. (Gobierno de España – Ministerio de Transportes y Movilidad Sostenible, 2024)
En este artículo, el análisis de la Comunidad de Madrid se centra en la dimensión de accesibilidad/conectividad, operacionalizada como tiempos de viaje a servicios públicos (sanidad, educación, etc.) en transporte privado y público, con el objetivo de identificar territorios donde la dependencia del coche puede convertirse en un factor de desigualdad. En particular, en nuestro estudio realizaremos el análisis a nivel de zonas estadísticas (NUTS4), lo que permite identificar patrones de accesibilidad en áreas amplias y comparables. No obstante, también mostraremos la desagregación a nivel municipal, de modo que sea posible reconocer la distribución de los datos.
Metodología
El criterio de selección incluye únicamente municipios de menos de 50.000 habitantes, de los que ya tenemos los tiempos a servicios a través del proyecto de accesibilidad y cuyos datos pueden ser visualizados en el visor de accesibilidad de LODCoreMadrid.
La distribución de municipios por zona estadística es la observada en la siguiente figura.

Número de municipios con menos de 50 mil habitantes por zona estadística
Los datos que se van a usar en esta entrada corresponden a tiempos en transporte privado y público a diferentes servicios: sanidad (86 ofertas asistenciales analizadas) y educación (preinfantil, infantil, primaria y secundaria).
La metodología de asignación de centros varía en función del servicio analizado. En el ámbito sanitario, se han considerado los centros públicos de salud correspondientes a cada municipio y, en caso de no disponer de uno en su territorio, se ha asignado su consultorio de referencia. Para las prestaciones más especializadas, se han vinculado los hospitales más cercanos. En el ámbito educativo, la asignación de centros públicos se ha realizado primero encontrado los centros educativos dentro de la propia delimitación y en el caso de no encontrarlos, siguiendo las recomendaciones del Buscador de Colegios de la Comunidad de Madrid.
Los tiempos de acceso se han calculado desde el centroide ajustado de los núcleos urbanos de cada municipio hacia los centros correspondientes, considerando tres franjas horarias. Posteriormente, estos valores se han ponderado mediante la media. Para obtener el resultado a nivel municipal, el tiempo de cada núcleo se ha ponderado en función de su población objetivo.
Sanidad
Las distintas ofertas asistenciales nos permiten reflejar el impacto de los centros de los que dependen los municipios. Este enfoque se aprecia al analizar los tiempos de acceso a tres servicios clave: la atención del médico de familia (cubierta por consultorios y centros de salud), la pediatría (ofrecida únicamente en centros de salud) y las urgencias (atendidas en todos los hospitales) y, por ejemplo, una oferta más específica como cardiología (ofrecida en algunos hospitales). Los siguientes gráficos muestran el porcentaje de población de cada zona estadística a más de 30 minutos para dichas ofertas asistenciales.
En el caso del médico de familia, prácticamente todos los municipios están bien cubiertos en transporte privado y solo aparecen pequeñas bolsas de mayor tiempo en transporte público. Esto se puede observar en el Sudeste de la Comunidad.

Porcentaje de población total afectada a más de 30 minutos por zona estadística al médico de familia en transporte privado (izquierda) y transporte público (derecha).
La etiqueta muestra el tiempo mínimo, medio y máximo.
En el caso de la pediatría se observa una situación similar, aunque aquí aparecen más áreas periféricas con mayores tiempos de acceso cuando se depende del transporte público. Los porcentajes resultan muy parecidos tanto si se considera la población total como si se limita al grupo objetivo (la población en edad de preinfantil, infantil, primaria y secundaria). Los valores más elevados en transporte público suelen darse en municipios que deben atravesar otros para acceder a su centro de salud.

Porcentaje de población afectada a más de 30 minutos por zona estadística a pediatría en transporte privado (izquierda) y transporte público (derecha).
La etiqueta muestra el tiempo mínimo, medio y máximo.
Por contraste, al analizar urgencias hospitalarias o especialidades más concretas como cardiología (que obtiene el mismo porcentaje que otras como neumología o traumatología), el panorama cambia notablemente. Mientras en transporte privado los tiempos se mantienen relativamente contenidos, en transporte público buena parte del territorio presenta valores muy elevados, superando con frecuencia los 60 minutos de mediana de acceso. Esto refleja la concentración de estos servicios la mayoría en hospitales (aunque existen centros de salud que lo ofrecen) y la fuerte dependencia del transporte privado. Por ejemplo, Sierra Sur (abajo a la izquierda) depende en su mayoría del Hospital Rey Juan Carlos en Móstoles. El mismo suceso ocurre en Sierra Norte, depende del Hospital Universitario Infanta Sofía en San Sebastián de los Reyes.

Porcentaje de población afectada a más de 30 minutos por zona estadística a urgencias en transporte privado (izquierda) y transporte público (derecha).
La etiqueta muestra el tiempo mínimo, medio y máximo.
En cuanto a cardiología, los tiempos aumentan debido a la especialización de esta oferta.

Porcentaje de población afectada a más de 30 minutos por zona estadística a cardiología en transporte privado (izquierda) y transporte público (derecha). La etiqueta muestra el
tiempo mínimo, medio y máximo.
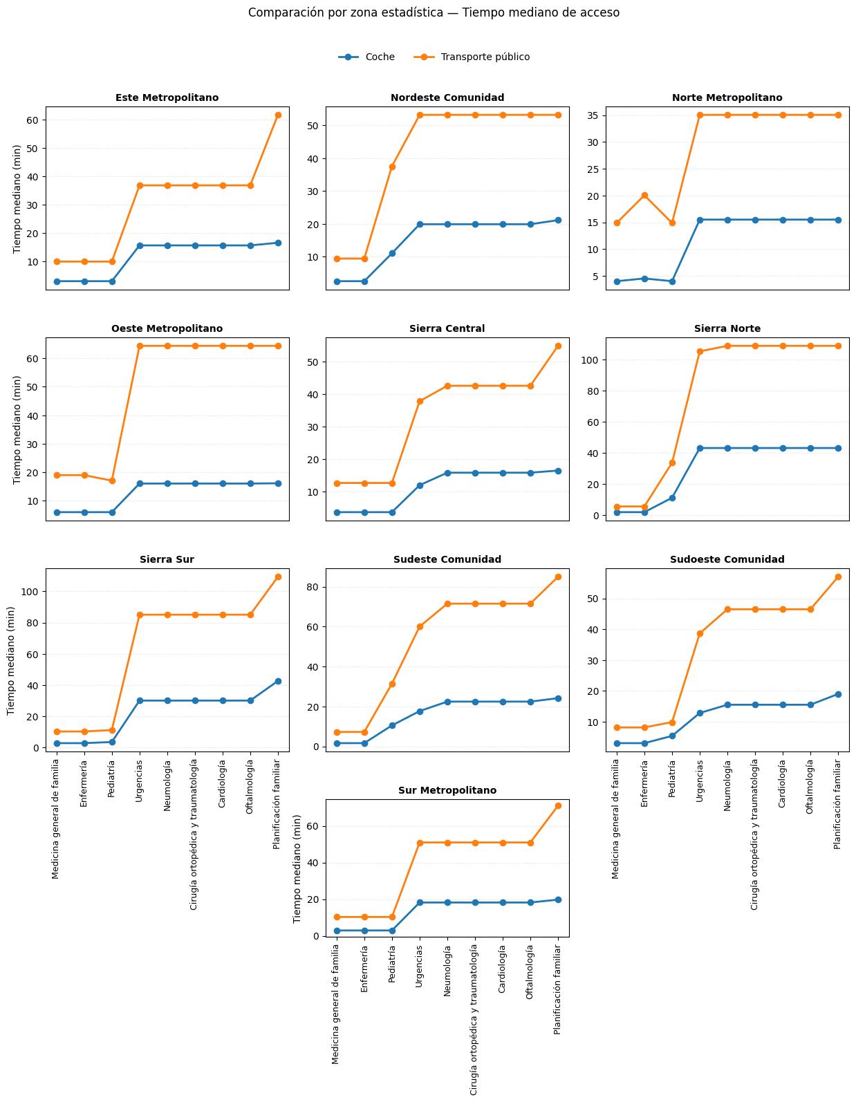
Finalmente, a través del siguiente gráfico, se puede analizar la evolución que hay entre ofertas asistenciales, ordenadas en orden (médico de familia, pediatría, urgencias y hospitales respectivamente) y divididas por modo de transporte. En transporte privado, prácticamente todas las zonas cumplen con el umbral de los 30 minutos, ya que las curvas se mantienen por debajo de esa marca incluso en especialidades hospitalarias, con la excepción parcial de la Sierra Norte y la Sierra Sur, donde los tiempos medianos rondan los 40 minutos en los servicios más especializados. En transporte público, en cambio, solo las zonas metropolitanas (Norte, Sur y en menor medida el Oeste) logran mantenerse en torno a los 30 minutos para parte de las especialidades, mientras que el resto de zonas periféricas (Sierra Norte, Sierra Sur, Sierra Central, Nordeste, Sudeste y Sudoeste) superan claramente ese límite, llegando en muchos casos a 60 minutos o más. Esto muestra que el criterio de “municipio de 30 minutos” solo se cumple de forma generalizada en transporte privado, mientras que en transporte público queda restringido a las áreas metropolitanas mejor conectadas.

Tiempo mediano (eje Y) a diferentes ofertas asistenciales (eje X) dividido por zonas estadísticas
Educación
En el caso de la educación, el contraste entre transporte privado y público vuelve a ser evidente. Con vehículo privado, el acceso a los centros de preinfantil, infantil, primaria y secundaria queda prácticamente garantizado en todo el territorio, con apenas zonas residuales donde se superan los 30 minutos.
Los siguientes gráficos muestran el porcentaje de población objetivo dentro de cada zona estadística que tiene un acceso mayor a 30 minutos para ese servicio.
En el nivel preinfantil, el acceso en transporte público, donde aparecen amplias áreas del sur, el este y parte del área metropolitana con una proporción significativa de población por encima del umbral, lo que refleja una fuerte dependencia del vehículo privado para este servicio.

Porcentaje de población afectada a más de 30 minutos por zona estadística a preinfantil en transporte privado(izquierda) y transporte público (derecha). La etiqueta muestra el
tiempo mínimo, medio y máximo.
En los niveles de infantil y primaria, el patrón se repite: en transporte privado no se aprecian problemas de accesibilidad y todo el territorio queda cubierto dentro del umbral, mientras que en transporte público emergen bolsas de municipios periféricos, especialmente en el norte metropolitano, el sureste y parte del sur, donde el porcentaje de población con un acceso mayor a los 30 minutos sube.
Uno de los ejemplos más destacados se encuentra en el Norte Metropolitano, donde la dispersión interna de los municipios (con varios núcleos urbanos y una elevada concentración de centros educativos) hace que el acceso se calcule también considerando la oferta existente en otros núcleos del mismo ámbito.

Porcentaje de población afectada a más de 30 minutos por zona estadística a infantil en transporte privado(izquierda) y transporte público (derecha). La etiqueta muestra el
tiempo mínimo, medio y máximo.

Porcentaje de población afectada a más de 30 minutos por zona estadística a primaria en transporte privado (izquierda) y transporte público (derecha). La etiqueta muestra el
tiempo mínimo, medio y máximo.
La situación se acentúa en la secundaria, que es la categoría con mayores contrastes. Aunque en transporte privado los tiempos siguen siendo reducidos y cumplen con el umbral, en transporte público aumenta considerablemente el número de municipios que quedan fuera, sobre todo en las zonas de sierra y en áreas alejadas de la capital. En estos casos, el acceso a la educación secundaria puede convertirse en una barrera significativa para las familias que no disponen de vehículo privado.

Porcentaje de población afectada a más de 30 minutos por zona estadística a secundaria en transporte privado (izquierda) y transporte público (derecha). La etiqueta muestra el
tiempo mínimo, medio y máximo.
En conjunto, en transporte público, las zonas metropolitanas concentran las mejores condiciones de accesibilidad educativa, ajustándose al umbral de los 30 minutos. En cambio, las áreas de sierra y los corredores periféricos del sur y sureste aparecen como las más desfavorecidas, con una proporción importante de población por encima del límite. Entre ambos extremos se sitúan zonas intermedias donde el transporte privado asegura la cobertura, pero el transporte público muestra claras limitaciones.
Conclusión
La siguiente figura resume los principales resultados que se han analizado en sanidad y educación: cada punto representa un municipio y los colores diferencian los distintos servicios.

Tiempos de acceso (eje Y) de los municipios a diferentes servicios (colores)
dividido por zonas estadísticas (eje X).
En conjunto, los resultados muestran que la idea de los “municipios de 30 minutos” se cumple en buena medida si se considera el acceso en transporte privado, pero no así cuando se depende del transporte público. Las zonas metropolitanas, especialmente el Norte, el Sur y el Oeste, concentran las mejores condiciones de accesibilidad, tanto en sanidad como en educación, manteniéndose en la mayoría de los servicios por debajo del umbral de media hora. En el otro extremo, las zonas de sierra (Norte, Sur y Central) y los corredores periféricos del sudeste y sudoeste aparecen como los territorios más desfavorecidos, con tiempos que en transporte público superan con frecuencia la hora. Entre ambos polos se sitúan áreas intermedias, donde el transporte privado asegura la cobertura, pero el transporte público muestra importantes limitaciones. En definitiva, la generalización del concepto de “municipio de 30 minutos” en la Comunidad de Madrid depende hoy en día de la disponibilidad del vehículo privado, lo que plantea un reto de equidad territorial y de movilidad sostenible de cara al futuro.
Referencias
Moreno, C., Gall, C., Chabaud, D., Garnier, M., Masson-Illian, et al. (2023). The 15-minute City model: An innovative approach to measuring the quality of life in urban settings. 30-minute territory model in low-density areas (White Paper No. 3). IAE Paris – Université Paris 1 Panthéon-Sorbonne. https://hal.science/hal-04065455
Poorthuis, A., & Zook, M. (2023). Moving the 15-minute city beyond the urban core: The role of accessibility and public transport in the Netherlands. Journal of Transport Geography, 110, 103629. https://doi.org/10.1016/j.jtrangeo.2023.103629
Gobierno de España – Ministerio de Transportes y Movilidad Sostenible (2024). Estrategia nacional contra la pobreza de transporte. https://www.transportes.gob.es/movilidad-sostenible/estrategia-pobreza-transporte

